10761. Sum of
distances
A weighted tree with n vertices and n
– 1 edges is given. The distance between vertices u and v is defined
as the weight of the smallest edge on the path between u and v.
Find the sum of distances between all pairs
of vertices in the tree.
Input. The first line contains the number of vertices n
(2 ≤ n ≤ 105) in the graph. The next n
– 1 lines describe the edges. Each line contains three integers: the numbers of
vertices connected by the edge (vertices are numbered from 1 to n) and the
weight of the edge.
Output. Print the sum of distances between all pairs of vertices in
the tree.
|
Sample
input 1 |
Sample
output 1 |
|
3 1 2 1 1 3 3 |
5 |
|
|
|
|
Sample
input 2 |
Sample
output 2 |
|
5 1 3 7 4 1 2 4 5 5 2 4 3 |
30 |
graphs - dsu
Let’s
use the disjoint-set data structure. Initially, each vertex will be placed in a
separate set. We will iterate through the edges in decreasing order of their
weights. For each edge (u, v), we will run the Union(u, v) function. It will merge the sets
containing vertices u and v.
Consider the
current edge (u, v) of the tree with weight w. Let it merge
the sets with sizes
size[u] and size[v]. All edges in these two sets have weights greater
than or equal to w. The edge (u,
v) is part of size[u] * size[v] different paths. Since
the weight w is minimal, the distances of these paths are equal to w. Therefore, the
contribution of these paths to the sum of distances of all pairs of vertices is w * size[u] * size[v].

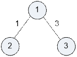
Example
Consider the first test.

The graph contains three
paths:
·
1 → 2 (distance 1);
·
1 → 3 (distance 3);
·
2 → 1 → 3 (distance 1);
The sum of distances between
all pairs of vertices is equal to 1 + 3 + 1 = 5.
Consider the second test.

Assign each vertex to a separate set.

Iterate through the edges in descending
order of weight. The first edge will be (1, 3). Perform Union (1, 3). The distance
7 has size[1] * size[3] = 1 * 1 = 1 path (from 1 to 3).

The next edge will be (4, 5). Perform Union(4, 5). The distance 5 has size[4] * size[5] = 1 * 1 = 1 path (from 4 to 5).

The next edge will be (2, 4). Perform Union(2, 4). The distance 3 have size[2] * size[4] = 1 * 2 = 2 paths (from 2 to 4 and from 2 to 5).

The next edge will be (1, 4). Perform Union(1, 4). The distance 2 have size[1] * size[4] = 2 * 3 = 6 paths (2 → 4 → 1, 4 → 1, 5 → 4 → 1, 2 → 4 → 1 → 3, 4 → 1 → 3, 5 → 4 → 1 → 3).

The desired sum of distances
is equal to 7 + 5 + 6 + 12 = 30.
Declare
arrays used by the disjoint-set system.
struct Edge
{
int u, v, cost;
} temp;
vector<Edge> e;
vector<int> parent, ssize;
The
cmpGreater function is a comparator that sorts the
edges in descending order of weight.
int cmpGreater(Edge a, Edge b)
{
return a.cost > b.cost;
}
The
Repr function returns the representative of the set containing
the vertex v.
int Repr(int v)
{
if (v == parent[v]) return v;
return parent[v] = Repr(parent[v]);
}
The
Union function merges sets with elements x and y. Implement the heuristic with
set sizes.
void Union(int x, int y)
{
x = Repr(x); y = Repr(y);
if (x == y) return;
if (ssize[x] < ssize[y]) swap(x, y);
parent[y] = x;
ssize[x] += ssize[y];
}
The
main part of the program. Read the number of vertices n in the graph.
scanf("%d", &n);
Initialize
the arrays.
parent.resize(n
+ 1);
ssize.resize(n
+ 1);
for (i = 0; i <= n; i++)
{
parent[i] = i;
ssize[i] = 1;
}
Read
the edges of the tree. Store them in the array e.
for (i = 0; i < n - 1; i++)
{
scanf("%d %d %d", &temp.u, &temp.v, &temp.cost);
e.push_back(temp);
}
Sort
the edges in descending order of weights.
sort(e.begin(),
e.end(), cmpGreater);
Compute
the sum of distances between all pairs of vertices in the variable res.
res = 0;
Iterate
through the edges. For each edge (u, v) with weight cost call
the Union(u, v) function. Add the contribution of all paths with
distance cost to res.
for (i = 0; i < e.size(); i++)
{
res += 1LL * e[i].cost * ssize[Repr(e[i].u)] * ssize[Repr(e[i].v)];
Union(e[i].u, e[i].v);
}
Print
the answer.
printf("%lld\n", res);
Python implementation
Declare
a class Edge, describing an edge of the graph.
class Edge:
def __init__(self, u, v, cost):
self.u = u
self.v = v
self.cost = cost
The
cmpGreater function is a comparator that sorts the
edges in descending order of weight.
def cmpGreater(a, b):
return a.cost > b.cost
The
Repr function returns the representative of the set
containing the vertex v.
def Repr(v):
if v == parent[v]: return v
parent[v] = Repr(parent[v])
return parent[v]
The
Union function merges sets with elements x and y. Implement the heuristic with
set sizes.
def Union(x, y):
x = Repr(x)
y = Repr(y)
if x == y: return
if ssize[x] < ssize[y]:
x, y = y, x
parent[y] = x
ssize[x] += ssize[y]
The
main part of the program. Read the number of vertices n in the graph.
n = int(input().strip())
Initialize
the lists.
parent = list(range(n + 1))
ssize = [1] * (n + 1)
e = []
Read
the edges of the tree. Store them in the list e.
for _ in range(n - 1):
u, v, cost = map(int, input().split())
e.append(Edge(u, v, cost))
Sort
the edges in descending order of weights.
e.sort(key=lambda
x: x.cost, reverse=True)
Compute
the sum of distances between all pairs of vertices in the variable res.
res = 0
Iterate
through the edges. For each edge (u, v) with weight cost call
the Union(u, v) function. Add the contribution of all paths with
distance cost to res.
for edge in e:
res += edge.cost * ssize[Repr(edge.u)] *
ssize[Repr(edge.v)]
Union(edge.u, edge.v)
Print
the answer.
print(res)